热门产品
热门阅读
近期更新
广东康明冷却塔降噪厂家
联系人:王经理
电话:13728927868
邮箱:km23055667@163.com
地址:深圳市龙华区龙华大道2125号卫东龙商务大厦A座1916A
广东康明 发布时间:2025-01-01 浏览量:

多台冷却塔并联安装时,集水盘之间的连接管就是我们所说的冷却塔平衡管。其主要作用是平衡各冷却塔集水盘之间的水位,保证水流均匀。那么你知道冷却塔平衡管尺寸的计算和测量方法吗?
按照《采暖通风与空调设计规范》的要求规范》,当多台开式冷却塔设计并联运行且无集水箱时,应允许并联冷却塔与水泵之间管段的压力损失大致相同,要达到这一效果,并联冷却塔之间可配置平衡管,也可在各塔底部配置连接水箱。并联式冷却塔在很多冷却塔项目中都采用,因为配置平衡管的方法简单,易于实施。与在出水管上加装电动蝶阀相比,耗钱更少。但《采暖通风空调设计规范》并未说明冷却塔平衡管尺寸应如何计算。
中国建筑工业出版社出版的《简明空调设计手册》中指出“冷却塔平衡管尺寸应与进水管尺寸相同”,但没有详细解释了如何计算。因此,本文主要讨论平衡管尺寸的计算方法,为广大同仁奠定基础。冷却塔实际并联运行中,当底部装有平衡管,出水管未装电动蝶阀,部分冷却塔停止运行时,经常会出现其中一台冷却塔继续补水而另一台冷却塔停止运行的情况。其他冷却塔溢出。本文也将在研究冷却塔平衡管尺寸计算公式的基础上,对这一现象给出合理的解释。为了简单起见,本文仅讨论两个开式冷却塔的并联运行。计算模型示意图如下图所示。
开式冷却塔并联运行计算模型示意图
In图中,MV为电动蝶阀。当一个单元停止运行时,就相当于关机。 BV是手动蝶阀,常开,维护时关闭。 CWP为冷却水泵,WCC水冷机组。现假设冷却塔1及其进水电动蝶阀关闭,冷却塔2运行。由于水进入冷却塔2上部,而冷却塔1和冷却塔2同时排水,两塔水位发生变化,产生高度差,导致水从冷却塔流出2通过平衡管进入冷却塔1 c.达到动态平衡时,水位高差为△h,即图1所示状态。为保证不发生溢流,溢流管入口处水位与补水时水位高度差启动时必须小于高度差。而且,这个高度差Δh也是平衡管c中水流的唯一驱动力。从流体力学的基本理论可知,为了计算平衡管c的尺寸,首先必须知道平衡管c需要承受的流量。当水流达到动态平衡时,a管和c管之间的流量必须相等。然而,由于很难精确计算a管的流量,因此本文尝试通过讨论a管和b管的流量之间的关系来粗略估计流经a管的流量。
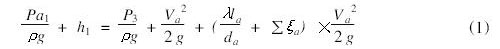
1.分析管道a和管道b的流量。根据流体力学理论,假设水是理想流体,并且在运行过程中稳定流动。那么根据伯努利方程,第1-1节和第3节之间的能量方程为:
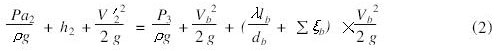
第2-2段与第3段能量方程为:< /p>
式中:Pa1、Pa2——水面大气压,Pa:ρ——水的密度,kg/m3g——重力加速度,m /S2; P3-3断面压力,Pa; Va——管道a的流速,m/s; λ——沿途阻力系数,无量纲量; la——管道长度a、m; da——管道直径a、m; ρψa——管道a的局部阻力系数之和,无量纲量; V′2——冷却塔2集水板表面的水流速度,m/s; Vb——管道b的流速,m/s; lb——管道b长度,m; db——管道直径b,m; ρψb——管道b的局部阻力系数之和,无量纲量。经过对各种冷却塔样品的计算,确认进水流经填料层流到达收集器。当水盘位于上表面时,流速一般小于0101m/s,因此式(2)中省略了含有V'2的项。由于运行中的冷却塔风机的抽吸作用,Pa2将小于Pa1。为了简化计算,这里忽略这个因素。结合(2)-(1)可得
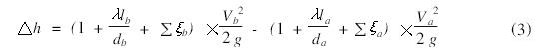
△h=h2-h1,最大值为溢流管入口水位和开始补水时的水位 水位的高差。检查样本显示该值大概在012m-014m之间。
在如图1所示的接管方法中,la=lb,da=db,ρΣa=ρΣb,因此:
![]()
式中:lc——平衡管长度,m; dc——平衡管直径,m; Vc——平衡管内水流速,m/s; ρψc——平衡管c的局部阻力系数之和。无量纲量也忽略了Pa1和Pa2之间差异的影响,并且忽略了包含V'2的项。由式(5)推导出
由流量计算公式Q=A×V也可知:
< img src="/kindeditor/attached/image/20210417/20210417103440504050 .jpg" alt="冷却塔平衡管尺寸计算" width="384" height="47" title="冷却塔平衡管尺寸计算"align=" " />
由(7)式得:
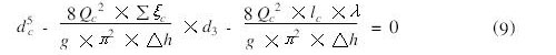
将式(8)代入式(6)并整理进入:

式(9)是平衡管尺寸的计算公式。然后将式(9)写成函数形式:
然后求f(d)=0的解。该方程可用牛顿迭代法求解,即:
确定其他参数的值后,代入某个初始值d0代入式(10)进行迭代计算,即可求解。
3.冷却塔平衡管计算实例。实际工程中,选用2座流量为250m3/h的冷却塔,设计出口管道尺寸为200mm。各参数取值如下:λ=01037,ρ弯头=1,ρ入口=019,ρ弯头=019,ρ蝶阀=015,计算出平衡管流量为125m3/h。分别取△h为012m、013m、014m进行模拟计算。结果如表1所示。
观察表1的计算结果,会发现当流量一定时,△h对冷却量大小的影响塔平衡管不容忽视。根据样品来看,不同塔的△h值并不完全相同。这告诉我们,设计者在为冷却塔选择平衡管时,不应简单地以主管尺寸作为平衡管尺寸,而应根据现场环境进行详细计算。
如果在实际的冷却塔工程中发现溢流,我们可以根据这个计算公式进行分析,就会知道溢流的原因大致有以下几种:
(1)尺寸选择太小,流通能力有限。
(2)管道有脏物堵塞,或蝶阀损坏而不能完全开启,造成阻力系数增大,流通能力降低。
(3)并联出口主管的阻力本质上是不平衡的,导致a管的流量大于b管的流量,即使平衡管的流量为大于总流量的一半。
四.结论本文从理论上推导了开式冷却塔并联运行时平衡管尺寸的定位,并得到了相应的计算公式。研究表明,水位差对平衡管尺寸有着不可忽视的影响。建议设计人员根据实际工况进行计算。
以上就是冷却塔平衡管尺寸的测量方法。如果你不明白也没关系。如果您对冷却塔有任何疑问,可以致电冷却塔厂家广东康明节能空调有限公司(http://www.szkangming.com/),我们将竭诚为您服务。
以上就是冷却塔降噪厂家广东康明节能空调为大家带来冷却塔平衡管尺寸计算及测量方法,冷却塔平衡阀作用的介绍了,希望对大家有所帮助。
在提升生产效率与应对环境温度的挑战中,冷却塔扮演着至关重要的角色。但您是否曾担忧它无法始终保持最佳性能?让我们的工业冷却系统变得更加强大、智能和高效!是否还在为冷却塔效率不佳而烦恼?现在就联系我们,获取免费定制专属的冷却塔噪声解决方案,与冷却塔噪音扰民彻底告别!
·个性方案:我们的专业团队将根据您的具体需求,打造专属的冷却塔方案,确保您的投资获得最佳回报。
·性能优化:采用我们的方案,不仅提升冷却塔的工作效率,还能有效降低能源消耗,实现高效冷却。
·经久耐用:选择我们的解决方案,将延长冷却塔的使用寿命,减少维修费用,享受长期稳定的冷却效果。
·智能降噪:提供的不围蔽冷却塔降噪方案,采用先进技术,有效降低噪音,同时确保冷却塔的散热效率不受影响。
·立刻行动:拨打我们的免费冷却塔专属方案:13728927868,获取您的定制化解决方案。
文章链接: 冷却塔平衡管尺寸计算及测量方法,冷却塔平衡阀作用 http://www.szkangming.com/news/1342.html
广东康明冷却塔降噪厂家
电话:13728927868
邮箱:km23055667@163.com
地址:深圳市龙华区龙华大道2125号卫东龙商务大厦A座1916A

抖音号

微信号
Copyright © 2022-2025 广东康明冷却塔降噪厂家 All Rights Reserved. |
网站地图 |
粤ICP备2021149527号
粤公网安备 44030902003126号
热门评论